翰林刷题,免费考试真题网站!
首页
关于我们
首页
›
分类
› 详情
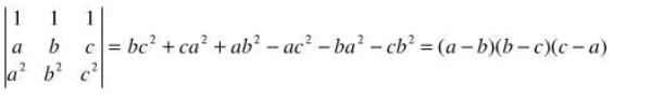
计算三阶行列式:
作者:高老师
时间:2024-07-29
浏览 1
计算三阶行列式:
【正确答案】:
【题目解析】:
📱 扫码体验刷题小程序
扫一扫使用我们的微信小程序
热门题目
《公司法》保护的是( )的合法权益。Ⅰ.股东Ⅱ.总经理Ⅲ.债权人Ⅳ.职工
古代印度的故事文学作品是
宏观经济要素包括
支架式教学的理论基础是( )
结合杜威的实用主义教育理论述评陶行知的生活教育理论。
教育督导的职能中最本质、最核心的职能是( )
加上另一个前提:“张三是一个好干部”,能否必然得出结论,为什么?
利润中心既要对收入负责,又要对成本费用负责。因此,在企业中,利润中心处于经营管理的最高层次。()
存货的作用是保证企业的生产能正常地、_____地、_____地进行。
对于下面定义的类Myclass,在函数f()中将对象成员n的值修改为50的语句应该是()class Myclass{
SQL语言中,修改表结构的命令是( )。
采用简化的分批法,在产品完工之前,产品成本明细账
➕
➖
📋
⬆️
已复制到剪贴板