翰林刷题,免费考试真题网站!
首页
关于我们
首页
›
分类
› 详情
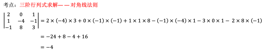
计算三阶行列式的值:
作者:高老师
时间:2024-07-29
浏览 0
计算三阶行列式的值:
【正确答案】:
【题目解析】:
📱 扫码体验刷题小程序
扫一扫使用我们的微信小程序
热门题目
( )的印发,标志着我国企业内部控制规范体系建设取得了重大的突破。
简述使用“请柬”发邀请的适用情形及其礼仪意义。
社会基本矛盾包括
运用问卷法进行工作分析的优点是( )。
后现代设计与现代设计理念的区别是什么?
一体化教育环境中,教育的主要方式是( )
名词解释:决策
把数据库应用系统从开始规划、设计、实现、维护到最后被新的系统取代而停止使用的整个期间。称为
第6题
甲公司和乙公司发生如下交易:2015年6月20日甲公司吸收合并乙公司,并购日为2015年6月30日,甲公司和乙公司的合并属于非同
下列项目中,属于外币业务的有( )。
社会保障的主体是( )
➕
➖
📋
⬆️
已复制到剪贴板