3阶行列式中元素的代数余子式=( )。

作者:高老师 浏览 0

3阶行列式中元素的代数余子式=( )。


A、-2
B、-1
C、1
D、2
【正确答案】:C
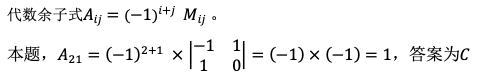
【题目解析】:

📱 扫码体验刷题小程序

微信小程序二维码

扫一扫使用我们的微信小程序

热门题目

已复制到剪贴板