翰林刷题,免费考试真题网站!
首页
关于我们
首页
›
分类
› 详情
作者:高老师
时间:2024-07-29
浏览 0
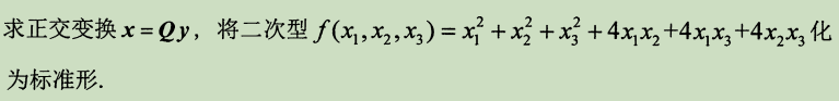
【正确答案】:
📱 扫码体验刷题小程序
扫一扫使用我们的微信小程序
热门题目
企业在销售准备中应对销售人员做哪些培训?
下列关于核心人才描述不正确的是()。
试述岗位评价的“四W”。
The HR manager will be ________ for not fulfilling his duty.
对于增值税一般纳税人而言,下列税金中,不影响企业净利润的是()
目前,我国的会计实务中采用的应收账款入账金额的确认办法是()
以下属于农产品流通主体的是
生活脚本
"通过——对应的方法比较两组物体的多少"这一计数与基数的教育目标适宜于()
适用于比较稳定的企业预算方法是
重商主义者衡量国家富强的唯一标准是
There is some ______ in the office about who the new director wi
➕
➖
📋
⬆️
已复制到剪贴板