翰林刷题,免费考试真题网站!
首页
关于我们
首页
›
分类
› 详情
作者:高老师
时间:2024-07-29
浏览 0
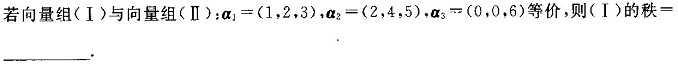
【正确答案】:2
📱 扫码体验刷题小程序
扫一扫使用我们的微信小程序
热门题目
在Windows中,文档是由_____创建的一组相关信息的集合,是包含文件格式和所有文件内容的文件。
在行业竞争关系中,体育用品商店与一般服装店之间属于
幼儿把“喵(miao)”发成“猫(mao)”,把“亮(liang)”发成“浪(lang)”,这属于构音异常中的
当孤独症儿童上下挥动手臂时,教他认识“上”和“下”概念;当他摆动玩具时,教他给玩具命名,认识玩具的形状、颜色特征等。在这里,教师
边际效用论的先驱和奠基者是
已知(2513)X=(4-621),则X=____
持国际经济法是国际公法观点的人认为国际经济法调整的关系有( )
企业所面临的各类公众和各种条件是()
国际商务谈判的基本程序一般包括()
保险的主要特征包括()
从题材上来看,李华的《吊古战场文》属于
急性一氧化碳中毒患者血液中异常的是( )。
➕
➖
📋
⬆️
已复制到剪贴板