翰林刷题,免费考试真题网站!
首页
关于我们
首页
›
分类
› 详情
作者:高老师
时间:2024-07-29
浏览 0
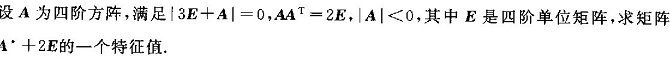
【正确答案】:
📱 扫码体验刷题小程序
扫一扫使用我们的微信小程序
热门题目
环境对礼仪的制约作用,一般体现在要由环境决定
A woman and a man get into a car accident, and it’s a bad one. B
企业对客户信用状况进行调查所依据的信用资料主要有
哪些情况下可以确认投资单位对被投资单位具有重大影响?
达·芬奇提出的“神圣的比例关系”是指人体美应
在实际工作中对重要性作初步判断要考虑的因素有
在大型软件开发中,项目负责人的任务不包括【】
What does "symmetry" mean?
战略控制应遵循的原则包括( )。
下列有关学科课程的陈述,正确的是
护理计划的种类有( )、( )、( )。
关于新生儿外观特点,错误的为
➕
➖
📋
⬆️
已复制到剪贴板