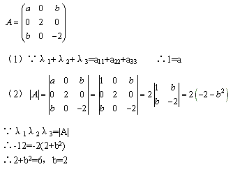
若,已知它的矩阵A的特征值之和为1,特征值之积为-12,则a,b分别为( )。

作者:高老师 浏览 0

,已知它的矩阵A的特征值之和为1,特征值之积为-12,则a,b分别为( )。


A、1,2
B、2,1
C、1,1
D、2,2
【正确答案】:A
【题目解析】:

【答案解析】本题考查二次型与特征值的概念。


📱 扫码体验刷题小程序

微信小程序二维码

扫一扫使用我们的微信小程序

热门题目

已复制到剪贴板