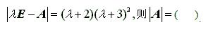
设3阶方阵A的特征多项式为

作者:高老师 浏览 0

设3阶方阵A的特征多项式为


A、-18
B、-6
C、6
D、18
【正确答案】:A
【题目解析】:

【答案解析】


📱 扫码体验刷题小程序

微信小程序二维码

扫一扫使用我们的微信小程序

热门题目

已复制到剪贴板