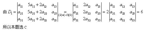
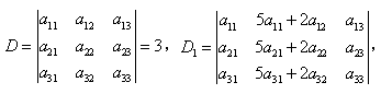
设行列式则D1的值为()

作者:高老师 浏览 1

设行列式则D1的值为()


A、-15
B、-6
C、6
D、15
【正确答案】:C
【题目解析】:

【答案解析】


📱 扫码体验刷题小程序

微信小程序二维码

扫一扫使用我们的微信小程序

热门题目

已复制到剪贴板