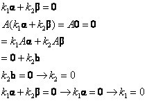
设 为Ax=0的非零解,β为Ax=b(b≠0)的解,证明 与 β线性无关.

作者:高老师 浏览 0

为Ax=0的非零解,β为Ax=b(b≠0)的解,证明 与 β线性无关.


【正确答案】:

证明: 所以 与 β 线性无关。


📱 扫码体验刷题小程序

微信小程序二维码

扫一扫使用我们的微信小程序

热门题目

已复制到剪贴板