翰林刷题,免费考试真题网站!
首页
关于我们
首页
›
分类
› 详情
作者:高老师
时间:2024-07-29
浏览 0
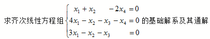
【正确答案】:
📱 扫码体验刷题小程序
扫一扫使用我们的微信小程序
热门题目
感性消费时代最大的特点就是,人们在购买商品时常常诉诸
简述运输管理的基本内容。
简述工作分析中观察法的含义及种类。
建设中国特色社会主义是现阶段我国各族人民共同的理想信念,它的基本内容不包括()
名词解释:电子数据表
持续经营前提下,企业正确的做法有
学前儿童家长在自然环境中测量孩子自然发生的社会行为,这是学前儿童家长在评价幼儿的社会行为水平时用的( )
根据实验场地的不同,实验可分为____和____两种。
简述我国对出口商品的品质要求。
《红楼梦》中林黛玉之母名叫贾敏,林黛玉凡遇“敏”字都读成“米”或“密",这是为了()
WHO调查显示人类疾病80%与水有关,其中饮用水被病原体污染可引起介水传染病的暴发流行,试述介水传染病的流行特点。
血清钠的增高或降低可引起血清_______的急性升高或降低。
➕
➖
📋
⬆️
已复制到剪贴板