翰林刷题,免费考试真题网站!
首页
关于我们
首页
›
分类
› 详情
作者:高老师
时间:2024-07-29
浏览 0
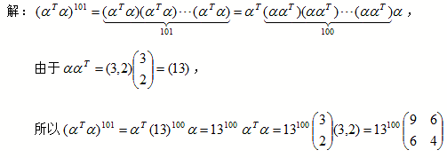
【正确答案】:
📱 扫码体验刷题小程序
扫一扫使用我们的微信小程序
热门题目
解放战争时期,解放区经过土地改革运动出现的新面貌。
张之洞在《劝学篇》中提出的思想主张是
债券的发行价格高于票面金额,但以后偿还本金时仍按票面额偿还的发行方式叫
介乎个人和组织之间的礼仪主体具有的特点包括
《爱尔克的灯光》:“这就是‘家’!‘甜蜜的家’!”作者连用两个引导的用意是( )
澳门特别行政区基本法生效的时间是
什么是或有事项?
家庭作为一种社会生活组织,它的三个组成纽带是( )。
审计准则的一般准则也称为
某设备公司每年按单价25元购入54000套配件。单位库存维持费为每套6元,每次订货费为20元。试求该公司最佳订货批量和全年最佳订
Webster’s New Dictionary of Synonyms (1978) is a(n) ( )dictionar
➕
➖
📋
⬆️
已复制到剪贴板