翰林刷题,免费考试真题网站!
首页
关于我们
首页
›
分类
› 详情
作者:高老师
时间:2024-07-29
浏览 0
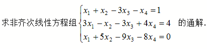
【正确答案】:
📱 扫码体验刷题小程序
扫一扫使用我们的微信小程序
热门题目
20世纪初,邹容发表的宣传民主革命思想的著作是( )。
内部控制缺陷
(1)Capital punishment has been in effect since the 1600’s.Howeve
She was advised not to resort to( )imitations, but save up for t
按照税种划分中央和地方各自的收人,以解决支出需要的方法是指()
铺陈胪列,细致描绘,成为汉代京都赋极致的是()
沈德潜的诗歌创作主张是()
文天祥《指南录后序》表达欲归葬故乡的文句是
影片节奏有哪两种?
按照《巴塞尔协议》所规定的银行业监管标准,资本充足率为( )
按规定的商品数量在一个指定的时间范围内进行配送,这种配送组织形式属于
如果生产可能性曲线向远离原点的外侧移动,则表明
➕
➖
📋
⬆️
已复制到剪贴板