翰林刷题,免费考试真题网站!
首页
关于我们
首页
›
分类
› 详情
作者:高老师
时间:2024-07-29
浏览 1
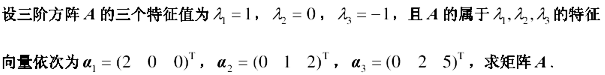
【正确答案】:
📱 扫码体验刷题小程序
扫一扫使用我们的微信小程序
热门题目
____是企业销售方针制定、战术运用的指挥者和实践者。
The story of Milton HersheyAlmost every kid in the US has eaten
企业在选择筹资渠道时,下列各项中需要优先考虑的是( )
以设计思想影响英国,使英国成为20世纪世界设计思想中心的是( )
S1是P, S2是P, S3是P, …… Sn是P, ( S1,S2,S3,…,Sn是S类中的部分对象 ) 所以,所有S都是P。
编制甲公司2018年度合并工作底稿中与内部固定资产交易有关的抵销分录。
(l)企业从国外某公司购入不需要安装的设备一台,设备价款为100000美元。当日的即期汇率为1美元=6.32元人民币,款项尚未支
( )的管理目标就是要保证新老系统平稳、可靠地交接,使新系统顺利使用。
以下协定及其相应机构具有全球性的影响的是【】
在下列战略相关理论中,由美国战略管理专家普拉哈拉德和盖瑞•哈默尔于1990年首先提出的是( )
刘克庄《贺新郎》“想投戈、下拜真吾父”中,“吾父”指的是
一氧化碳中毒后出现频繁抽搐者首选药物是
➕
➖
📋
⬆️
已复制到剪贴板