翰林刷题,免费考试真题网站!
首页
关于我们
首页
›
分类
› 详情
作者:高老师
时间:2024-07-29
浏览 0
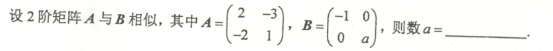
【正确答案】:4
【题目解析】:
📱 扫码体验刷题小程序
扫一扫使用我们的微信小程序
热门题目
刑罚是指刑法规定的由人民法院依法对犯罪分子所适用的限制或者剥夺某种权益的最为严厉的法律制裁方法。刑罚分为主刑和附加刑,下列选项中
社会主义的根本任务是
旧殖民体系的形成是在()
常用的网络硬件不包括
物流管理强调( )的均衡,既要实现成本最低化,又要确保客户对物流服务质量满意
对于美元来说,以下属于直接标价法的是()
将下列句子译成汉语。表現が変だったら、教えてください。
additional clause
线性规划问题的图解法适用于有几个变量的目标函数?
The following words have inflectional affixes EXCEPT ____.
在行情分析和行情预测的过程中,主要使用
将公关公司划分为合作型公司与独立型公司的标准是( )
➕
➖
📋
⬆️
已复制到剪贴板