翰林刷题,免费考试真题网站!
首页
关于我们
首页
›
分类
› 详情
作者:高老师
时间:2024-07-29
浏览 2
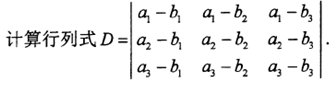
【正确答案】:
📱 扫码体验刷题小程序
扫一扫使用我们的微信小程序
热门题目
柱状图的优点
第一届国际心理健康大会召开于( )年。
收到附属单位按规定比例上缴的承包利润196000元。
某垄断竞争企业长期总成本函数是TC=0.1Q³-5Q²+120Q,需求函数是P=120-3.5Q。求企业利润最大化时的价格、产量
广域网一般采用的传输方式为______方式。
BSP法必须遵循的首要原则是支持
企业用现有产品去开辟新市场的密集型成长战略是
张衡《四愁诗》说“侧身东望泪沾翰”,“翰”是指
组织形象管理的工作表现为协调关系和()的公共关系活动。
下列哪项发明的产生和流传,打破了少数人对知识的垄断和在传播上的特权,冲破了黑暗的中世纪宗教牢笼,开始了文艺复兴,进而又导致了工业
试联系实际分析教育评价的功能
下列不属于成人教育特征的是
➕
➖
📋
⬆️
已复制到剪贴板