翰林刷题,免费考试真题网站!
首页
关于我们
首页
›
分类
› 详情
作者:高老师
时间:2024-07-29
浏览 1
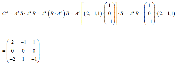
【正确答案】:
【题目解析】:
📱 扫码体验刷题小程序
扫一扫使用我们的微信小程序
热门题目
( )是以公司财务报表和其他有关资料为依据和起点,采用一系列专门方法,对公司一定时期的财务状况、经营成果及现金流量情况进行分析,
简述非正式组织的积极作用
顾客一次性大量购买某种产品,就可享受较低价格,这一定价策略是( )
近年来,我国一些房地产开发商单方面制定有利于公司利益的购房合同,并利用自己掌握的资源优势和权力强迫购房者接受。购房者既没有参与制
简述什么是复合流通。
在19世纪80年代法国学前教育机构改革中发挥领导作用、促使政府将日间看护中心改造为母育学校的是
问卷编制中回答方式有许多形式,具体有
()是全面分析组织外部环境和内部资源寻找满意战略组合的分析工具。
在制度基础审计模式下,审计风险的要素有( )
多栏式明细账的设计适用于
行为目标包括()
系统性红斑狼疮病人的典型皮损为
➕
➖
📋
⬆️
已复制到剪贴板