翰林刷题,免费考试真题网站!
首页
关于我们
首页
›
分类
› 详情
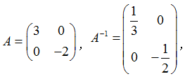
设矩阵
作者:高老师
时间:2024-07-29
浏览 0
设矩阵
A、
B、
C、
D、
【正确答案】:B
【题目解析】:
选B
📱 扫码体验刷题小程序
扫一扫使用我们的微信小程序
热门题目
下列科学发现中,对马克思主义哲学的形成产生巨大影响的有()
下列不属于内部控制审计意见及其处理的内容的是( )。
矩阵代数类模型中,通过分析几种变量现时运动的情况来预测其未来运动情况,这是指()
美国进步主义教育运动开展的理论基础是
The questions in Paragraph 10 intend to show that().
《2010通则》中包含11种贸易术语中卖方承担风险、责任最大的是
李商隐《安定城楼》“不知腐鼠成滋味,猜意鸩雏竟未休”两句中的典故出自()
从音位的区别特征上说明汉语普通话的下列音位分别通过哪些区别特征与音位/p/、/ʂ/区别开来。a./p/:/p‘/、/t
1993年Slipp等提出NHL的国际预后指标(IPI),即年龄大于60岁、______、结外病变1处以上、需要卧床或生活需要别
纽曼保健系统理论认为 ( )
第二次世界大战后,美国的经济与科技突飞猛进,媒介技术也日新月异,建成了全球首屈一指的( )
我国最大的新闻集团是( )。
➕
➖
📋
⬆️
已复制到剪贴板