翰林刷题,免费考试真题网站!
首页
关于我们
首页
›
分类
› 详情
作者:高老师
时间:2024-07-29
浏览 1
A、-6
B、-2
C、2
D、6
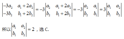
【正确答案】:C
【题目解析】:
📱 扫码体验刷题小程序
扫一扫使用我们的微信小程序
热门题目
外资的间接投资方式主要有( )
请简述影响劳动力参与率的因素。
吕彦直
名词解释:新产品开发
如边际消费倾向等于40%,则投资乘数为
Some pessimists hold that true independent advice is ______.
在 MySQL中,____值通常用于表示“没有值”、“无数据”等意义。
协调性反映的是标准体系【】
主要资本主义国家的工业生产在1970-1971年和1974年明显下降时,商品的世界市场价格
简述谈判方案制订的主要内容。
货物消费国与货物生产国通过第三国进行的贸易活动,对第三国而言是()
作为建安诗人之一的曹操次子是( )
➕
➖
📋
⬆️
已复制到剪贴板