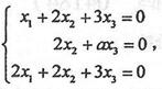
设3元齐次线性方程组 确定a为何值时,方程组有非零解,并求其通解.

作者:高老师 浏览 1

设3元齐次线性方程组 确定a为何值时,方程组有非零解,并求其通解.


【正确答案】:

📱 扫码体验刷题小程序

微信小程序二维码

扫一扫使用我们的微信小程序

热门题目

已复制到剪贴板