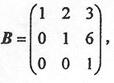
设A为3阶矩阵且r(A)=1, 则r(BA)=()

作者:高老师 浏览 2

设A为3阶矩阵且r(A)=1, 则r(BA)=()


B、1
C、2
D、3
【正确答案】:B
【题目解析】:

📱 扫码体验刷题小程序

微信小程序二维码

扫一扫使用我们的微信小程序

热门题目

已复制到剪贴板