翰林刷题,免费考试真题网站!
首页
关于我们
首页
›
分类
› 详情
作者:高老师
时间:2024-07-29
浏览 0
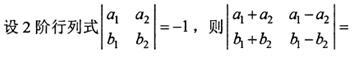
A、-2
B、-1
C、1
D、2
【正确答案】:D
【题目解析】:
📱 扫码体验刷题小程序
扫一扫使用我们的微信小程序
热门题目
决定社会必要劳动时间的主观条件包括()
传统商务与电子商务的正确关系应该是( )
市场上不存在竞争,只有一个厂商,它攻击整个市场,这种市场类型被称为
国际货物买卖中通常先采用的解决纠纷的方式是 ()
________ had written in his lifetime five full-length plays, one
The police( )Mr. Burger for the wanted suspect and informed the
贷项通知单
销售团队激励机制中,稳定阶段的团队的激励方法,以下不适用的是( )。
在护理理论类型中,以护理程序为中心的类型是 ( )
试述低钾血症的急救和护理措施。
在9个生产者、6个消费者共享容量为8的缓冲器的生产者一消费者问题中,设S为互斥使用缓冲器的信号量,其初始值应设为
按地区划分部门是根据——设立管理部门,把某一地区的业务集中于某一部门全权负责。()
➕
➖
📋
⬆️
已复制到剪贴板