翰林刷题,免费考试真题网站!
首页
关于我们
首页
›
分类
› 详情
作者:高老师
时间:2024-07-29
浏览 1
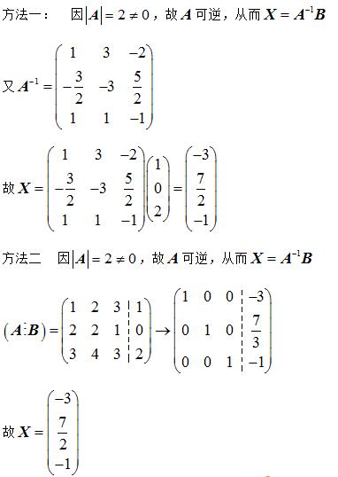
【正确答案】:
📱 扫码体验刷题小程序
扫一扫使用我们的微信小程序
热门题目
阅读《香市》中的下列文字,回答问题:在我看来,这所谓“南洋武术班”的几套把式比起从前“香市”里的打拳头卖膏药的玩意来,委实是好看
下列《张中丞传后叙》人物行为中,属于贺兰进明的是
幻灯片母版包含( )。
统计指数按照包括的范围不同可分为()
运用迂回竞争产品定位策略的首要条件是( )
学前儿童智力发展最迅速的时期是
探究式科学教育
简述固定资产终止确认条件。
按复利计算方法,利息的计算公式为_______。(I:利息;P:本金;i:年利率;n:期限)
This season saw an ominous dawning of the tenth of November.
待估建筑物为砖混结构三层办公楼,占地面积为400平方米,建筑面积为600平方米,月租金36000元,土地还原利率为8%,建筑物还
在下图中填写系统分析各阶段使用的工具。 (1)________ (2)________ (3)________ (4)___
➕
➖
📋
⬆️
已复制到剪贴板