翰林刷题,免费考试真题网站!
首页
关于我们
首页
›
分类
› 详情
作者:高老师
时间:2024-07-29
浏览 0
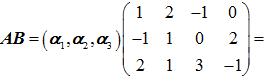
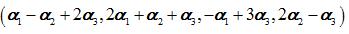
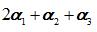
A、
B、
C、
D、
【正确答案】:D
【题目解析】:
📱 扫码体验刷题小程序
扫一扫使用我们的微信小程序
热门题目
笛福的《鲁滨逊飘流记》的主人公是
简述 2~3岁儿童想象的特点。
A:よろしいですか。B:はい、()。
Passage 2In the eyes of economists, economic growth is a phenome
缔约国之间为调整和发展相互间经济贸易关系而签订的书面协议是
不属于面向对象程序设计特性的是
Put the following words and phrases into Chinese.summer resort
设随机变量X1,X2,…,Xn…是相互独立的随机变量序列,且服从相同的概率分布.设E(Xi)=μ,D(Xi)=σ2(σ﹥0,i=
批处理作业的调度算法包括()
民事诉讼中特殊的地域管辖
简述税法的构成要素。
JSJ的电子商务战略转型 JSJ作为电信集团旗下的子公司,拥有互联网硬件、软件资源.1999年与游戏开发商联手开通了以娱
➕
➖
📋
⬆️
已复制到剪贴板