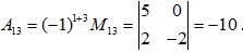
行列式中元素4的代数余子式等于 作者:高老师 时间:2024-07-29 浏览 1 行列式中元素4的代数余子式等于A、-40B、-10C、10D、40【正确答案】:B【题目解析】:所求代数余子式为选B。 📱 扫码体验刷题小程序 扫一扫使用我们的微信小程序