翰林刷题,免费考试真题网站!
首页
关于我们
首页
›
分类
› 详情
作者:高老师
时间:2024-07-29
浏览 0
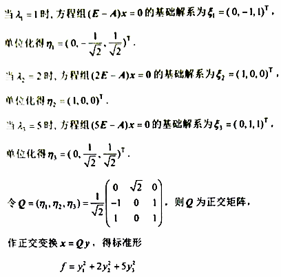
【正确答案】:
📱 扫码体验刷题小程序
扫一扫使用我们的微信小程序
热门题目
为什么说发达资本主义国家是经济全球化的主要受益者?
The electronics industry __________ developing the technology un
简述会计的基本职能及其相互关系。
独立审计实务公告是对注册会计师执行特殊目的、特殊性质的审计业务,出具审计报告的具体规范。其制定的依据是()
()是指指成员国之间完全消除贸易壁垒,建立对非成员国的统一关税税率,并且允许资本和劳动力等生产要素和服务的自由流动。
明日あいい天気だ( )思います。
We have not heard anything ____ you, and our patience has just r
模块
As far as sentence types are concerned, they embrace declarative
《邵公谏厉王弭谤》中列举了古人向君王进谏的方式,其中“瞽”的进谏方式是()
屈折
消化性溃疡最常见的并发症是 ( )
➕
➖
📋
⬆️
已复制到剪贴板