翰林刷题,免费考试真题网站!
首页
关于我们
首页
›
分类
› 详情
作者:高老师
时间:2024-07-29
浏览 2
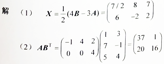
【正确答案】:
📱 扫码体验刷题小程序
扫一扫使用我们的微信小程序
热门题目
下列具有荣誉性质的是
( )用来调控该国的货币供应量。
一大班幼儿练习梳辫子,她从中间将头发分成两半,两根小辫扎好后发现中间有一绺头发没扎进去,就用剪刀把它剪掉,感觉头发就梳好了。这一
下面属于知识性儿歌的是
学前儿童的心理是在活动中形成,并通过活动表现出来的。因此,研究学前儿童的心理发展应遵循的原则是
在幼儿园卫生保健管理中,身高、体重不达标通常是指
Identify the poet and the poem from which the quoted lines are t
——Can I have some information about the course? ——It( )for begin
农村宅基地、自留地、自留山等属于
系统开发的指导原则:
以下不属于定性资料的是()
2007年5月,张某从华丰商场购买了一台热水器。同年6月,该热水器因质量问题给张某造成了人身伤害。2008年l0月,张某向华丰商
➕
➖
📋
⬆️
已复制到剪贴板