翰林刷题,免费考试真题网站!
首页
关于我们
首页
›
分类
› 详情
作者:高老师
时间:2024-07-29
浏览 0
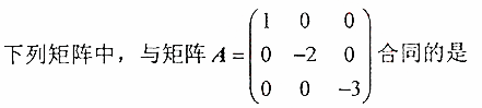
A、
B、
C、
D、
【正确答案】:B
📱 扫码体验刷题小程序
扫一扫使用我们的微信小程序
热门题目
某工程钢筋加工有现场制作和外包加工两个方案,现场制作方案的固定费用12万元,每吨加工费用150元;外包加工每吨加工费用250元。
按照客户所处的位置分类,客户可分为内部客户和( )。
名词解释:收入效应
索特萨斯的代表作是()
税收调节经济的职能主要表现在()
下列各种会计处理方法中,体现谨慎性原则的有
案例三:本题30分。A公司是一个生产家电的大型企业,公司下属分公司遍布全球各地,年销售额高达上百亿美金。如何管理如此庞大的企业,
Which of the following words does NOT have suffixes? ()
Which of the following words is NOT formed through clipping? [ ]
作业成本法与传统的成本计算方法基本一致,其不同点主要体现在()。
发挥谈判群体效能最大化的一般途径有哪些?
五礼
➕
➖
📋
⬆️
已复制到剪贴板