翰林刷题,免费考试真题网站!
首页
关于我们
首页
›
分类
› 详情
作者:高老师
时间:2024-07-29
浏览 0
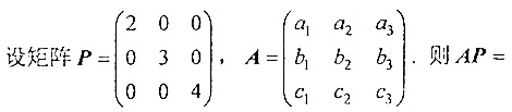
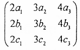
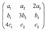
A、
B、
C、
D、
【正确答案】:C
📱 扫码体验刷题小程序
扫一扫使用我们的微信小程序
热门题目
成为中国共产党后备力量的组织是()
华益食品公司是一家外贸独资企业,开创初期实施了卓有成效的经营战略,使产品一炮打响,并迅速占领了我国市场。随着市场的扩大,企业规模
商品价值的货币表现就是()
下列筹资方式中不属于债权筹资的是
简述学前儿童发声异常的分类。
和其它教学组织形式相比,集体教学最重要的优越之处是( )
注册会计师的审计责任是
按照有关规定,应付给职工的工资总额不包括( )。
从银行提取现金,填制记账凭证和登记账簿时的正确做法是
可以作为评估对象的待摊和预付费用有
雷维奇关于人际关系的划分类型是什么?
➕
➖
📋
⬆️
已复制到剪贴板