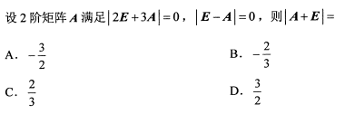
作者:高老师 浏览 0


A、A
B、B
C、C
D、D
【正确答案】:C
【题目解析】:由|2E+3A|=0知λ1=-2/3,由|E-A|=0知λ2=1,所以得出A的特征值为1、-2/3,则A+E的特征值为2、1/3,所以|A+E|=2/3。参见教材P158。

📱 扫码体验刷题小程序

微信小程序二维码

扫一扫使用我们的微信小程序

热门题目

已复制到剪贴板