翰林刷题,免费考试真题网站!
首页
关于我们
首页
›
分类
› 详情
作者:高老师
时间:2024-07-29
浏览 0
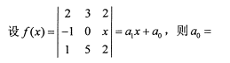
A、-7
B、-4
C、4
D、7
【正确答案】:B
【题目解析】:
📱 扫码体验刷题小程序
扫一扫使用我们的微信小程序
热门题目
1908年的《钦定宪法大纲》是宪法典。请对此观点加以辨析。
简述劳动组合的类型。 (简答题)
中山装的设计者是
下列各项目属于现金流量表中的“现金”核算的范畴的是()
怎样通过分析当代生活以得出教育目标?
采用FCA术语时,货物运输契约由( )
《莎菲女士的日记》的思想内容是
心理方位包含两种状态,即____和_____。
组织类型的划分标准有哪些?
均衡
登记
借用独立的系统软件或服务程序在不同的技术之间共享资源的系统集成组件是
➕
➖
📋
⬆️
已复制到剪贴板