翰林刷题,免费考试真题网站!
首页
关于我们
首页
›
分类
› 详情
作者:高老师
时间:2024-07-29
浏览 2
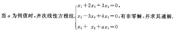
【正确答案】:
📱 扫码体验刷题小程序
扫一扫使用我们的微信小程序
热门题目
在Internet中,由超文本标记语言编写的网页,其超文本链接的标记是
企业价值最大化目标的优点包括( )。
关于遗传和儿童智力关系的叙述,下列说法正确的是()
subsidiary
William Blake's ____ marks his entry into maturity.
采用成本法的优点之一是,比较充分的考虑了资产的各种损耗,评估结果更趋于()。
我国的社会保险制度包括
营销者在市场营销策划活动中对自己的一切业务行为本身及其后果承担政治的、法律的、经济的、道义的责任,这一市场营销道德策划的基本原则
进口国可以利用配额贯彻国别政策的是()
简述失望的行为表现
水疗法的适应症不包括()
以下程序代码的输出结果是
➕
➖
📋
⬆️
已复制到剪贴板