翰林刷题,免费考试真题网站!
首页
关于我们
首页
›
分类
› 详情
作者:高老师
时间:2024-07-29
浏览 0
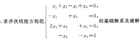
【正确答案】:
📱 扫码体验刷题小程序
扫一扫使用我们的微信小程序
热门题目
在越南,____被当作是新年树。
劳动力市场最主要的特征是
试述失业的主要类型及其成因。
劳动者的自我控制形式包括
构成传统管理与全面质量管理相同沟通方式是( )
战略目标制定的重要作用是什么?
此期的促销活动建议。
I think the company should adopt a more flexible strategy( )the
在Web应用中通过()来寻址一个Web页或Web对象。
在串行接口中,CPU与接口一侧传送的数据和外设与接口一侧传送的数据分别是( )
"The front of the head" is the ______meaning of the wo
如果注册会计师是首次接受委托,按照规定对存货实施了一定的审计程序,仍不能获得有关期末存货余额充分、适当的审计证据,应出具的审计意
➕
➖
📋
⬆️
已复制到剪贴板