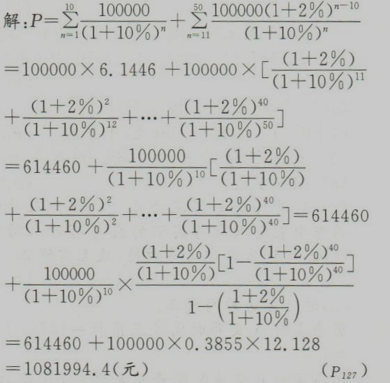
某企业拟将一宗地出租,现聘请某资产评估机构对其价格进行评估,评估过程如下:(1)考虑到评估目的,决定用收益法对该土地使用权进行评

作者:高老师 浏览 0

某企业拟将一宗地出租,现聘请某资产评估机构对其价格进行评估,评估过程如下:
(1)考虑到评估目的,决定用收益法对该土地使用权进行评估。该宗地剩余使用年限为50年,预测前10年每年的客观收益为人民币10万元,此后由于社会经济情况的影响,将以每年2%的比例递增。
(2)通过对同一风险水平的投资项目的测算,风险调整利率为4%,安全利率采用一年期国库券利率6%,则还原利率定为10%。
试对该宗地的土地使用权进行评估。
【正确答案】:

📱 扫码体验刷题小程序

微信小程序二维码

扫一扫使用我们的微信小程序

热门题目

已复制到剪贴板