被评估生产线年生产能力为10000吨,评估时由于受政府政策调整因素影响,生产不景气,如不降价销售产品,企业必须减至年产7000吨

作者:高老师 浏览 2

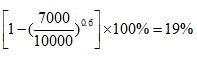
被评估生产线年生产能力为10000吨,评估时由于受政府政策调整因素影响,生产不景气,如不降价销售产品,企业必须减至年产7000吨,该企业的正常投资报酬率为10%,生产线的规模经济指数为0.6,则该设备的经济性贬值率约为()
A、17%
B、18%
C、19%
D、20%
【正确答案】:C
【题目解析】:

经济性贬值率=


📱 扫码体验刷题小程序

微信小程序二维码

扫一扫使用我们的微信小程序

热门题目

已复制到剪贴板