翰林刷题,免费考试真题网站!
首页
关于我们
首页
›
分类
› 详情
作者:高老师
时间:2024-08-03
浏览 0
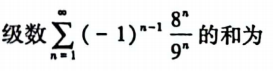
A、
B、-1
C、
D、1
【正确答案】:C
📱 扫码体验刷题小程序
扫一扫使用我们的微信小程序
热门题目
The First Settlement in North AmericaIt is very difficult to say
俗话说:“听其言,观其行,而知其人。”这躭是说,我们认识一个人要根据他的言论和行为,这里所说的是社会知觉中的( )。
我国社会基金的统一管理单位为()
简述我国目前职业技能鉴定的新特点。
现行转账结算中,同时适用于同城和异地结算方式的有( )。
A公司用人民币买入美元,兑换时,银行所采用的汇率是
Barter endured for thousands of years as the primary means of tr
简述市场法的优缺点
现实中的信息系统都具有脆弱性,影响系统安全性的风险因素非常多,既有安全风险也有非故意性安全风险。()
促销进行的工作是()
通过研究人际关系的客观规律,探讨现实生活中的人际关系问题,分析原因,归纳和提出协调人际关系的原则、方法的是( )。
李清照《醉花阴》的结尾三句是“莫道不消魂,帘卷西风,______”。
➕
➖
📋
⬆️
已复制到剪贴板