翰林刷题,免费考试真题网站!
首页
关于我们
首页
›
分类
› 详情
求幂级数的收敛半径和收敛区间.
作者:高老师
时间:2024-08-03
浏览 1
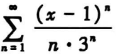
求幂级数
的收敛半径和收敛区间.
【正确答案】:
📱 扫码体验刷题小程序
扫一扫使用我们的微信小程序
热门题目
孙中山三民主义学说的主要内容是什么?
市场包括的主要因素有
机会成本
馈赠礼仪中,首先应该考虑的因素是赠送
复活节是为纪念____的节日,定于每年____。
劳动经济学研究的起点是工资理论。( )
我国宪法为什么要规定宗教信仰自由?
下列各项中,属于企业无形资产的是()
下列通过“其他应付款”核算的业务包括( )。
儿童攻击性行为的教育干预。
美国心理学家( )提出的期望理论认为人的积极性是否能够得到充分发挥,取决于工作目标实现的可能性的大小和相应奖酬对人的
Translation Revision Directions: Each of the following translat
➕
➖
📋
⬆️
已复制到剪贴板