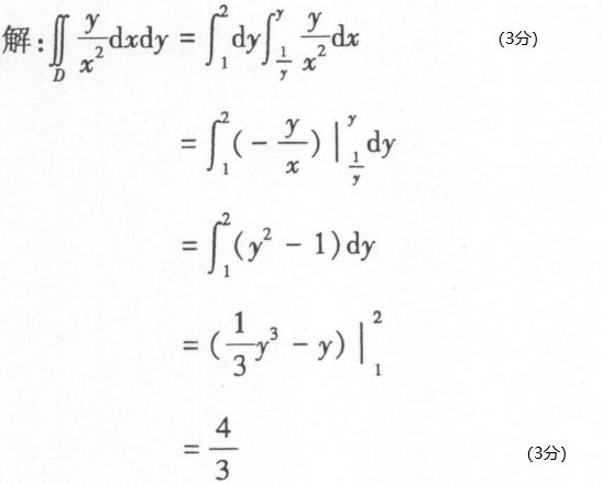
计算二重积分[ drdy ,其中积分区域D是由y==,y=x及y=2所围的闭区域

作者:高老师 浏览 0

计算二重积分[ drdy ,其中积分区域D是由y==,y=x及y=2所围的闭区域
【正确答案】:

📱 扫码体验刷题小程序

微信小程序二维码

扫一扫使用我们的微信小程序

热门题目

已复制到剪贴板