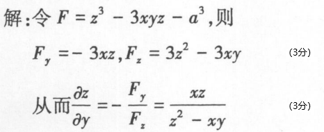
设z=z(x,y)由方程z3-3xyz=a3所确定,求

作者:高老师 浏览 0

设z=z(x,y)由方程z3-3xyz=a3所确定,求


【正确答案】:

📱 扫码体验刷题小程序

微信小程序二维码

扫一扫使用我们的微信小程序

热门题目

已复制到剪贴板