下列微分方程中,可分离变量的微分方程是

作者:高老师 浏览 1

下列微分方程中,可分离变量的微分方程是
A、
B、
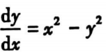
C、
D、
【正确答案】:A

📱 扫码体验刷题小程序

微信小程序二维码

扫一扫使用我们的微信小程序

热门题目

已复制到剪贴板