翰林刷题,免费考试真题网站!
首页
关于我们
首页
›
分类
› 详情
作者:高老师
时间:2024-08-03
浏览 0
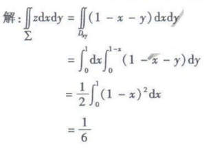
【正确答案】:
📱 扫码体验刷题小程序
扫一扫使用我们的微信小程序
热门题目
团队发展的生命周期包括
简述考核性测评的特点。
“预提费用”账户按用途和结构分类,属于( )账户。
以下哪个短语可以表达忍不住做某事?
As you can see, our general terms and conditions for our interna
企业文化管理的影响因素有:行业特征、已有的企业文化模式、追求独特模式、形成的长期性和( )
某公司拟对新产品生产批量作出决策,现有三种备选方案,未来市场对该产品的需求也有三种可熊的自然状态,收益如题32表。试以最小最大遗
数据流图中的外部实体是指()
Which of the following is NOT one of the variations of idioms?(
简述反向收购的概念。
编制会计制度总体的设计计划和具体的设计安排,包括设计时所需要的()
企业会计制度总体设计的作用是
➕
➖
📋
⬆️
已复制到剪贴板