翰林刷题,免费考试真题网站!
首页
关于我们
首页
›
分类
› 详情
作者:高老师
时间:2024-08-03
浏览 0
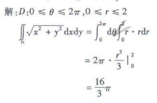
【正确答案】:
📱 扫码体验刷题小程序
扫一扫使用我们的微信小程序
热门题目
注册会计师为了解内部控制的设计而实施的程序包括()
平均效率随着劳动时间的增加而上升,超过一定的劳动时间后( )。
下列各项属于长期借款的优点的是()
沃滋沃思归纳总结出了儿童发展基本问题理论,也称基本问题理论。
在回归分析中,【不需要】区分自变量和因变量。
上游企业的生产进度信息也和下游企业的生产进度信息一道作为滚动编制计划的依据,其目的在于保持上下游企业间生产活动的同步。
C类IP地址可标识的最大主机数是
下列不属于“其他货币资金”的是
简述战略业务单位应具有的特征。
企业技术创新战略的基本模式有( )。
骆宾王《在狱咏蝉》“来对白头吟”的上一句是( )
最常见于躯体疾病高峰期的症状是( )
➕
➖
📋
⬆️
已复制到剪贴板