作者:高老师 浏览 1


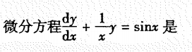
A、可分离变量的微分方程
B、齐次微分方程
C、一阶线性齐次微分方程
D、一阶线性非齐次微分方程
【正确答案】:D

📱 扫码体验刷题小程序

微信小程序二维码

扫一扫使用我们的微信小程序

热门题目

已复制到剪贴板