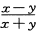
求函数f(x, y) =的梯度gradf (x,y).

作者:高老师 浏览 0

求函数f(x, y) =的梯度gradf (x,y).


【正确答案】:

因为


【题目解析】:

考察梯度的求法


📱 扫码体验刷题小程序

微信小程序二维码

扫一扫使用我们的微信小程序

热门题目

已复制到剪贴板