翰林刷题,免费考试真题网站!
首页
关于我们
首页
›
分类
› 详情
作者:高老师
时间:2024-08-03
浏览 0
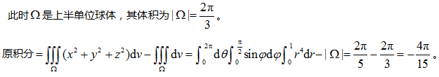
【正确答案】:
📱 扫码体验刷题小程序
扫一扫使用我们的微信小程序
热门题目
下列省区跨4个温度带的是()
在一般社交场合,出于对对方的尊重,可将对方职务职称中的“副”字,采取____的方法。
白居易的号是()
为什么说确保清晰地报告是克服沟通障碍的重要因素?
进口货物一律在()申报纳税。
次の横線に適当な助詞を入れなさい。(在横线处填入适当的助词) 喫茶店へコーヒーを飲み()行きます。
managerial structure
右图中A点的价格需求弹性的绝对值为()
Which of the following examples shows that every word that has m
简述效率型销售薪酬模式的构成和特点。
(200904,填空35)传染病感染过程的表现中最常见的是_______。
元朝统一中国后,把它统治下的人民分为四等,地位最低下的是()
➕
➖
📋
⬆️
已复制到剪贴板