翰林刷题,免费考试真题网站!
首页
关于我们
首页
›
分类
› 详情
作者:高老师
时间:2024-08-03
浏览 1
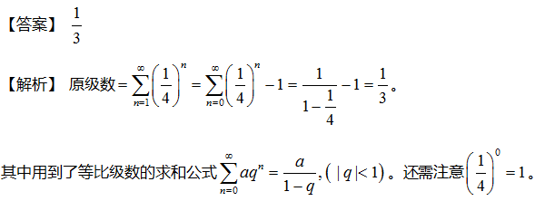
【正确答案】:
📱 扫码体验刷题小程序
扫一扫使用我们的微信小程序
热门题目
Bike to workMost people agree that riding a bike to work is a go
根据组织历史上的人员资料,采用影响组织人力资源变化的因素作为变量,预测组织在未来某一时点完成预计任务所需要的人员数量,这种方法是
员工招聘工作处于人力资源管理价值链的
公共生活是人们在公共的领域、公有的环境、公用的场所中,彼此开放透明且互相关联的共同活动。下列选项中,反映了现代社会公共生活状况的
外激励是什么?
名词解释:访问口令
相容选言推理的无效式是()
“并非只要是法律系毕业,就能成为优秀的律师。”等值于
设四元方程组问t取何值时该方程组有解?并在有解时求其通解.
同一控制下,合并方为实现合并发生的下列支出中,与合并费用无关的是( )
《解决国家与他国国民间投资争端公约》简称为
作为受众拥有的一种重要权力,媒介接近权主要表现在( )
➕
➖
📋
⬆️
已复制到剪贴板