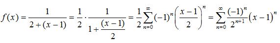
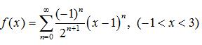
将函数 的幂级数.

作者:高老师 浏览 1

将函数 的幂级数.


【正确答案】:
【题目解析】:由展开的过程可知,此幂级数的收敛域为

📱 扫码体验刷题小程序

微信小程序二维码

扫一扫使用我们的微信小程序

热门题目

已复制到剪贴板