验证
在整个oxy平面内是某个二元函数
的全微分,并求这样的一个函数
.
【正确答案】:

【题目解析】:
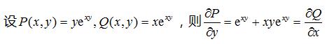
根据曲线积分与路径无关的四个等价条件,则表达式
是某个二元函数
的全微分.
由于曲线积分与路径无关,考虑起点在原点,变终点
的曲线积分
验证
在整个oxy平面内是某个二元函数
的全微分,并求这样的一个函数
.

根据曲线积分与路径无关的四个等价条件,则表达式
是某个二元函数
的全微分.
由于曲线积分与路径无关,考虑起点在原点,变终点
的曲线积分
📱 扫码体验刷题小程序
扫一扫使用我们的微信小程序