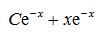
求微分方程 的通解.

作者:高老师 浏览 1

求微分方程 的通解.


【正确答案】:
【题目解析】:

这是一阶线性方程,套用公式可得通解


📱 扫码体验刷题小程序

微信小程序二维码

扫一扫使用我们的微信小程序

热门题目

已复制到剪贴板