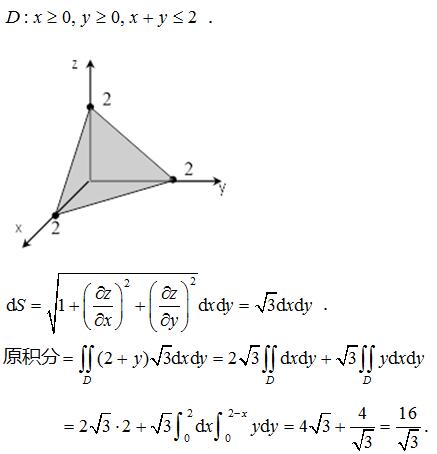
计算对面积的曲面积分 ,其中 是平面 在第一象限的部分.

作者:高老师 浏览 0

计算对面积的曲面积分 ,其中 是平面 在第一象限的部分.


【正确答案】:
【题目解析】:

曲面 ,它在oxy坐标面上的投影为 .


📱 扫码体验刷题小程序

微信小程序二维码

扫一扫使用我们的微信小程序

热门题目

已复制到剪贴板